Skip to content
View in the app

A better way to browse. Learn more.

USA Weather

A full-screen app on your home screen with push notifications, badges and more.

To install this app on iOS and iPadOS
  1. Tap the Share icon in Safari
  2. Scroll the menu and tap Add to Home Screen.
  3. Tap Add in the top-right corner.
To install this app on Android
  1. Tap the 3-dot menu (⋮) in the top-right corner of the browser.
  2. Tap Add to Home screen or Install app.
  3. Confirm by tapping Install.

Balance of January and all of February with a Hint of March Storm Tracking Thread

Featured Replies

Euro AI on board

sn10_acc-imp.us_ma.png

  • Replies 5.1k
  • Views 106.6k
  • Created
  • Last Reply

Top Posters In This Topic

Most Popular Posts

  • .

  • THE GREAT PB
    THE GREAT PB

    And your friend P. B. called Jan 15 - Feb 15 from early January. Not too shabby. Next period Feb 20 - March 10. Going to run this winter BN wire to wire November - March. Just crazy

  • Metfan88
    Metfan88

    Wife in labor

sn10_acc-imp.us_ne.png

Saint Patrick's day blizzard on EURO!

Public Information Statement

National Weather Service New York NY

300 PM EST Fri Mar 6 2026

...BLIZZARD CONFIRMED FOR NEW YORK CITY, LONG ISLAND, COASTAL

WESTCHESTER, COASTAL CONNECTICUT, AND PORTIONS OF NORTHEASTERN

NEW JERSEY...

The National Weather Service in New York, NY can preliminarily

confirm that blizzard criteria was met on February 23rd across the

following counties...

Manhattan, NY

Queens, NY

Kings, NY

Richmond, NY

Bronx, NY

Nassau, NY

Suffolk, NY

Southern Westchester, NY

Southern Fairfield, CT

Southern New Haven, CT

Southern Middlesex, CT

Southern New London, CT

Eastern Bergen, NJ

Eastern Essex, NJ

Eastern Union, NJ

Hudson, NJ

Blizzard criteria are met when sustained winds or frequent gusts

of at least 35 mph accompanied by falling and/or blowing snow

frequently reduce visibility to less than 1/4 mile for 3 or more

hours during an event.

The exact start and end times of blizzard conditions in these

areas will be documented in NWS StormData. Further analysis will

also be conducted to determine if any additional zones reached

blizzard criteria with this event. All verification data are

considered preliminary until certified in NWS StormData.

Please see the following preliminary storm event webpage for more

details on this event: https://www.weather.gov/okx/20260222_23

8 hours ago, tmagan said:

https://xmacis.rcc-acis.org/

1) Go to 'Single Station'

2) Go to 'Consecutive Days'

3) In the 'Criteria' select the following:

'Max Temp'

'<'

'60'

Important: Make sure in 'Station selection' in the 'ID' window you put 'KNYC.'

Number of Consecutive Days Max Temperature < 60 
for NY CITY CENTRAL PARK, NY

Rank, RunLength, EndingDate
1, 151, 1877-04-14
2, 147, 1900-04-05
3, 145, 1891-04-12
4, 142, 1873-04-03
5, 136, 1908-03-25
-, 136, 1901-04-11
7, 134, 1905-03-17
-, 134, 1881-03-25
9, 133, 1893-03-31
10, 132, 1931-04-03

Period of record: 1869-01-01 to 2026-03-05

If you go to 'Report content':

Top 'BLANK' longest runs, select 50, and you get this:

Number of Consecutive Days Max Temperature < 60 
for NY CITY CENTRAL PARK, NY

Rank, RunLength, EndingDate
1, 151, 1877-04-14
2, 147, 1900-04-05
3, 145, 1891-04-12
4, 142, 1873-04-03
5, 136, 1908-03-25
-, 136, 1901-04-11
7, 134, 1905-03-17
-, 134, 1881-03-25
9, 133, 1893-03-31
10, 132, 1931-04-03
11, 131, 1911-03-21
12, 129, 1904-03-25
-, 129, 1888-04-05
14, 128, 1948-03-15
-, 128, 1926-03-24
16, 127, 1962-03-24
17, 126, 1958-04-04
18, 125, 1978-03-22
-, 125, 1915-04-07
20, 123, 1894-03-05
21, 122, 1982-03-29
-, 122, 1914-03-25
-, 122, 1889-03-12
24, 121, 1895-03-04
25, 120, 1899-03-11
26, 119, 1910-03-22
27, 118, 1918-03-16
28, 117, 1970-04-07
29, 116, 2026-03-05
-, 116, 1927-03-12
-, 116, 1872-02-25
32, 115, 1917-03-30
33, 113, 1963-03-24
34, 112, 1897-03-20
35, 111, 1956-03-04
-, 111, 1940-03-30
37, 109, 1936-03-16
-, 109, 1884-03-11
39, 108, 1945-03-02
-, 108, 1883-03-01
41, 106, 1928-03-23
-, 106, 1878-03-02
43, 103, 1923-03-02
44, 100, 1987-03-06
45, 99, 1920-03-22
-, 99, 1892-04-01
47, 98, 1921-02-15
-, 98, 1909-03-09
49, 97, 1977-03-04
-, 97, 1924-03-27

Last value also occurred in one or more previous years.
Period of record: 1869-01-01 to 2026-03-05

You will see, including today, we are at 117, tied for 28th all time.

thanks ...you're the best...

19 hours ago, Red 2.0 said:

Think it was 2009 or 2010 when it seemed everyday was cloudy and rainy from March to almost Independence Day! That was our version of living in Seattle. That was AWFUL.

2009 the year without a summer.

March 19-21st timeframe to watch for guys.

ecmwf-deterministic-ma-instant_ptype-1772841600-1773727200-1773921600-40.gif

49 minutes ago, Brian5671 said:

2009 the year without a summer.

Another weak Nina transitioning to a strong Nino with a cool summer was 1997.

The summer of 1997 did not reach 90 degrees during the entire month of July.

2 minutes ago, Analog1888 said:

Another weak Nina transitioning to a strong Nino with a cool summer was 1997.

The summer of 1997 did not reach 90 degrees during the entire month of July.

No way that can happen now unless it's raining every day accompanied by dewpoints near 80

10 minutes ago, Sundog said:

No way that can happen now unless it's raining every day accompanied by dewpoints near 80

Sorry I got the year wrong, that was actually the summer of 1996.

00 
TTAA00 KNYC 011454

JULY CLIMATOLOGICAL REPORT FOR NEW YORK CITY...CENTRAL PARK
NATIONAL WEATHER SERVICE NEW YORK NY
1055 AM EDT THU AUG 1 1996

TEMPERATURE DATA:
                             (DEGREES F)
AVERAGE MONTHLY TEMPERATURE.... 73.4   3.4 DEGREES BELOW NORMAL
AVERAGE MAXIMUM TEMPERATURE.... 79.8   5.4 DEGREES BELOW NORMAL
AVERAGE MINIMUM TEMPERATURE.... 66.9   1.5 DEGREES BELOW NORMAL
HIGHEST TEMPERATURE............ 89 ON THE 18TH
LOWEST  TEMPERATURE............ 62 ON THE 11TH


HEATING DEGREE DAYS:               COOLING DEGREE DAYS:
MONTHLY TOTAL ........... 0        MONTHLY TOTAL ........... 267
DEPARTURE FROM NORMAL...  0        DEPARTURE FROM NORMAL.... -99
SEASONAL TOTAL (JUL-JUN). 0        SEASONAL TOTAL (JAN-DEC). 556
DEPARTURE FROM NORMAL...  0        DEPARTURE FROM NORMAL.... -67

PRECIPITATION:

TOTAL FOR THE MONTH......... 5.76   1.41 INCHES ABOVE NORMAL
TOTAL SINCE JANUARY 1ST..... 31.91  4.50 INCHES ABOVE NORMAL
GREATEST 24 HOUR RAINFALL... 2.13   INCHES ON THE 12TH-13TH


                         ..NUMBER OF DAYS..

WITH  .01 INCHES OR MORE..15         HIGHS 32 DEGREES OR COLDER..0
WITH  .10 INCHES OR MORE..9          HIGHS 90 DEGREES OR WARMER..0
WITH  .50 INCHES OR MORE..4          LOWS  32 DEGREES OR COLDER..0
WITH 1.00 INCHES OR MORE..2          LOWS   0 DEGREES OR COLDER..0

SEA LEVEL PRESSURE:

HIGHEST: 30.30 INCHES ON THE 12TH
LOWEST:  29.41 INCHES ON THE 13TH

REMARKS:
JULY AVERAGED OUT TO BE A VERY COOL AND MOIST MONTH ACROSS THE NEW YORK
CITY METROPOLITAN AREA. THE AVERAGE MONTHLY TEMPERATURE OF 73.4 WAS 3.4
DEGREES BELOW NORMAL...AND IT MARKS THE FIFTH CONSECUTIVE MONTH OF
BELOW NORMAL TEMPERATURES AT CENTRAL PARK. IN ADDITION...THIS IS THE
FIRST JULY SINCE 1889 THAT THE MERCURY DID NOT REACH 90 DEGREES!
AVERAGE HIGH TEMPERATURES WERE WELL BELOW NORMAL FOR THE MONTH...WITH A
MEAN READING OF ONLY 79.8 DEGREES COMPARED TO A NORMAL OF 85.2 DEGREES.
AVERAGE MINIMUMS WERE ALSO BELOW NORMAL...WITH A TEMPERATURE OF 66.9 IN
COMPARISON TO THE NORMAL OF 68.4 DEGREES. ALTHOUGH THE MONTH WAS QUITE
COOL...IT DOES NOT RANK IN THE TOP TEN COOLEST JULY'S ON RECORD AT
CENTRAL PARK. IT MISSES THE LIST BY JUST .3 DEGREES...AS THE TENTH
COOLEST JULY AT THE PARK WAS IN 1890 WITH AN AVERAGE TEMPERATURE OF
73.1 DEGREES. THE COOLEST JULY EVER WAS IN 1888 WHEN THE MERCURY
AVERAGED ONLY 70.7 DEGREES. THE ABOVE NORMAL PRECIPITATION ALSO WAS NOT
NEARLY ENOUGH TO PLACE THE MONTH IN THE TOP TEN WETTEST AT THE PARK.
THE WETTEST JULY OF ALL TIME WAS IN IN 1889 WHEN 11.89 INCHES OF RAIN
FELL.


DAY TO DAY/DAILY RECORDS...
NO DAILY TEMPERATURE OR PRECIPITATION RECORDS WERE EITHER TIED OR
BROKEN DURING THE MONTH. THE MONTH BEGAN ON A COOL BUT FAIRLY DRY NOTE
WITH BELOW NORMAL TEMPERATURES AND ONLY .58 INCHES OF RAIN REPORTED IN
THE FIRST 7 DAYS. THEN...WET WEATHER SET IN FOR THE MIDDLE PART OF THE
MONTH...HIGHLIGHTED BY OVER TWO INCHES OF RAIN FROM TROPICAL STORM
BERTHA ON THE 12TH AND 13TH. THE SECOND HALF OF THE MONTH CONTINUED THE
COOL AND WET PATTERN...WITH JUST A FEW DAYS OF TYPICAL SUMMERTIME
WEATHER. PRECIPITATION WAS RECORDED ON SIX OF THE LAST TEN DAYS OF THE
MONTH....AND EACH OF THE LAST 12 DAYS OF THE MONTH AVERAGED BELOW
NORMAL.
 
SOROKA

August could be cool during a developing el nino year...I did some research a few years ago and had to add 2023...

year.....ave temp...precip...max min...

1951.......74.5........2.51".....91...56

1957.......73.6........2.87".....95...57

1963.......72.1........3.21".....88...53

1965.......73.2........2.73".....91...50........coldest August temp on record...

1968.......76.0........2.88".....94...57

1972.......75.6........1.92".....94...57

1976.......74.3........6.52".....94...50.........coldest Aug. temp on record...wet due to hurricane Belle

1977.......75.7........4.57".....93...57

1982.......73.2........4.66".....89...50........coldest August temp on record...

1986.......73.1........4.24".....89...50........coldest August temp on record...

1991.......77.1........7.13".....94...62........wet due to hurricane Bob...

1997.......73.3........3.21".....93...60

2002.......77.7........4.91".....98...60

2004.......74.2........3.03".....90...58

2009.......75.7........4.22".....92...62

2014.......74.5........2.25".....90...61

2018.......78.1.........8.51"....94...65

2023......75.1.........6.56".....88...63

norm.....75.8.........4.44".....94...59

cd100.37.40.46.65.9.40.1.prcp.png

cd100.37.40.46.65.9.40.53.prcp.png

2 hours ago, Analog1888 said:

Another weak Nina transitioning to a strong Nino with a cool summer was 1997.

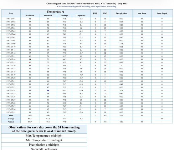
The summer of 1997 did not reach 90 degrees during the entire month of July.IMG_5127.jpeg

It got very hot for awhile in July 1997 but still ended up below normal overall.

Just now, Andrew said:

It got very hot for awhile in July 1997 but still ended up below normal overall.

Yeah I saw that, but it wasn't a hot summer.

2 hours ago, Analog1888 said:

Another weak Nina transitioning to a strong Nino with a cool summer was 1997.

The summer of 1997 did not reach 90 degrees during the entire month of July.

Nina to strong Nino usually means cool summer and warm winter,for some reason Christmas week is balmy, followed by a strong nina the year after..The thing is will it be strong?. Too early to determine

Real or not real!

36 minutes ago, Monmouth Weather said:

Real or not real!

That was 0z

12z has nothing

I just took down the remainder of the Xmas lights. All chances for snow are now null.

14 minutes ago, Graupel said:

I just took down the remainder of the Xmas lights. All chances for snow are now null.

This late ?

7 minutes ago, Metfan88 said:

This late ?

Just some to keep the snow going

Create an account or sign in to comment

Account

Navigation

Configure browser push notifications

Chrome (Android)
  1. Tap the lock icon next to the address bar.
  2. Tap Permissions → Notifications.
  3. Adjust your preference.
Chrome (Desktop)
  1. Click the padlock icon in the address bar.
  2. Select Site settings.
  3. Find Notifications and adjust your preference.